Minggu, 06 Desember 2020

[Download 46+] View Vecteur Position En Coordonnées Cylindriques Png PNG

View Vecteur Position En Coordonnées Cylindriques PNG. Pour les articles homonymes, voir position. 3 coordonnées cylindriques coordonnées sphériques chapitre 4 :

Cinematique Du Point Materiel
Cinematique Du Point Materiel from femto-physique.fr
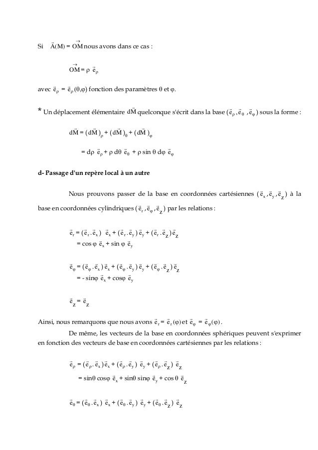
Lien entre les vecteurs de base des repères cylindrique et cartésien : C'est important de le savoir lorsque. Notions et contenus systèmes de.

Les coordonnées cylindriques sont des coordonnées locales, dépendant du point étudié.

Dans un plan, on utilisera les coordonnées polaires. En géométrie, le vecteur position, ou rayon vecteur, est le vecteur qui sert à indiquer la position d'un point par rapport à un repère. Le vecteur position s'exprime alors dans la base cylindrique la rotation du plan autour de engendre un cylindre. En plus des coordonnées (r, θ), on considère un axe z normal au plan polaire pour repérer la cote.

Tidak ada komentar:

Posting Komentar